大学学费纷纷涨价,是大势所趋?
大学学费纷纷涨价,是大势所趋?
培养一名大学生需要多少钱?这个数字或许很难量化,但近年来,一些高校纷纷表示,仅有财政支持已经很难覆盖培养成本。今年以来,高校迎来又一波“涨价”,包括上海、吉林、四川等多省高校纷纷上调大学新生学费。
01
学费普遍上涨
日前,包括上海师范大学、上海机电学院在内的上海多所高校均已发布通知表示调整基准学费收费标准。文科类基准学费标准6500元/生·学年,理工体类基准学费标准7000元/生·学年,艺术类基准学费标准13000元/生·学年。中外合作专业随基准学费调整。
华东理工大学将部分理科、工程和体育专业新生的学费每年提高54%至每学年7700元,将文科专业的学费提高30%至每学年6500元。


上海电力大学理工科类学费上涨40%至每学年7000元,而管理学、经济学和文学专业的学费比去年同期上涨30%至每学年6500元。除了上海,四川、吉林今年也要涨学费。今年1月18日,四川省发展和改革委员会发布《关于召开四川省调整公办高校学费标准听证会的公告(第2次)》称,拟从2025年秋季起,将文科类和理工类学费同步上调1100元,分别达到4800元/年和5200元/年;医学类则上调至5800元/年。从具体院校来看,部分专业涨幅高达41%。
02
各校学费、住宿费情况汇总
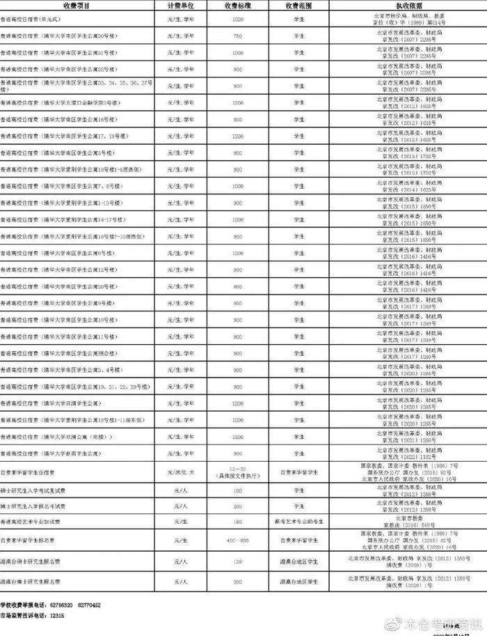
总体来说,清华、北大、人大等北京高校的学费没有上涨,浙大、上海交大、复旦、华师、同济、上财等上海、杭州高校学费均已上涨。中科大、南京大学、东南大学的学费也未上涨。1.复旦大学学费:按学分收取,按学年预收基准学费。本科专业基准学费预收标准为6500-8140元/学年•人,具体以复旦大学教育收费公示表为准。住宿费:按实际住宿条件收取,约1200元/学年•人。2.上海交通大学上海交通大学按照国家规定和上海市物价局核准标准确定学费和住宿费标准:学费:①大部分本科专业基准学费预计收费标准为6500-8140元/学年·人。②软件工程专业人民币400元/学分。③上海交大密西根学院所属专业:人民币75,000元/人·年。④巴黎卓越工程师学院所属专业:人民币45,000元/人·年。⑤视觉传达设计专业按照上海市艺术类专业收费标准收取。⑥临床医学(法语班)专业:人民币10,000元/人·年。⑦临床医学五年制(英语班):人民币19,500元/人·年。⑧按平台、院(类)招生的学生分流后按照分流专业标准收费。住宿费:人民币1,200元/人·年。(具体以上海交通大学教育收费公示表为准。)3.上海财经大学上海财经大学按照教育部有关规定及上海市物价局核定标准收取学费和住宿费。学费:中外合作项目本科专业19500-21450元/年,非中外合作项目本科专业6500-7150元/年,具体各专业收费标准以各省(区、市)教育主管部门对外发布为准。超过专业培养计划的学分,按我校学分制实施办法另行收取。住宿费:1200元/学年。4.华东师范大学华东师范大学依法收取学费、住宿费等相关费用。其中:学费按学分收取,按学年预收。预收标准:艺术类专业为13000元/年;软件工程专业第一、二学年为7000元/年,第三、四学年为16000元/年;其他专业一般为6500-7700元/年。住宿费:普陀校区700-1200元/年,闵行校区1200元/年。5.北京大学学费收费标准:理科试验班类、文科试验班类、计算机类、电子信息类、生物科学类专业为5300元人民币/学年,其他专业5000元人民币/学年。住宿费:750-1200元人民币/学年。6.中国人民大学学费标准:外语类专业每学年6000元,艺术类专业每学年10000元,中法学院专业为每学年60000元,其他专业均为每学年5000元。如果国家调整本年度本科生学费收费标准,中国人民大学将按照新规定收取学费。住宿费标准:根据住宿条件的不同收取不同标准的住宿费用,一般为每学年650—1200元;中法学院学生住宿费在国内期间约为每学年2200元,在法国期间按照法方高校标准执行。7.中国科学院大学每生每学年学费标准为5500元,住宿费为不高于1200元。8.浙江大学浙江大学按照国家规定和浙江省发改委核准标准,实行学分制收费。学费由专业注册学费和学分学费组成,每学年先按学年制收费标准进行预收,学年末按所修学分结算,毕业前进行学费总结算。工科类、医学类专业6000元/人∙学年;艺术类专业9000元/人∙学年;农林类专业5500元/人∙学年;其他专业5300元/人∙学年。软件工程专业第三学年16000元/人∙学年,第四学年10000元/人∙学年。竺可桢学院混合班按工科类专业收费,第一至第二学年6000元/人∙学年,后两年按学生主修专业学费标准执行。临床医学专业八年制前四年按本科阶段学费标准收费,后四年按照当年(入学后第五年)博士生学费标准收取。以下专业学费标准将在上述相应标准基础上上浮15%:能源与环境系统工程、建筑学、电气工程及其自动化、计算机科学与技术、软件工程、光电信息科学与工程、信息工程、自动化、工业设计、电子信息工程、临床医学(8年制)、汉语言文学、新闻学、经济学、金融学、财政学、会计学、数学与应用数学、信息与计算科学、统计学等。海宁国际校区所有专业按照国家规定和浙江省发改委核准标准,实行学年制收费,学费标准:16万元/人∙学年。浙江大学学生公寓(除海宁国际校区外)住宿费:不超过1600元/人∙学年。海宁国际校区公寓依据房型收取住宿费,收费标准分别为:8000元/人∙学年、9000元/人∙学年、10000元/人∙学年。9.东南大学东南大学按照教育部有关规定及江苏省物价局核定标准收取学费和住宿费。10.南京大学南京大学按照国家和江苏省相关规定和标准收取学费和住宿费。南赫学院大气科学(中外合作办学)专业实行学年制收费,标准为75000元/生∙学年。其他专业实行学分制收费政策。新生在入校时按照所学专业的学年收费标准预收学费,标准为5200-7480元/生·学年;分流后按照准入专业所对应的学分制学费标准收费,并按学年进行学费结算。其中,软件工程、软件工程(智能化软件)专业第三、四学年学费为16000元/生·学年。南京大学住宿费标准为人民币1200-1500元/生·学年。11.清华大学


03
高校学费为何涨价?
公立大学属于非营利机构,学费调整引发了对高等教育普惠性的担忧。一些人担心,学费的上涨可能会限制一些家庭的孩子接受高等教育的机会,从而削弱了社会公平性和机会均等。对于部分学生来说,这一调整也意味着他们需要更多地思考如何应对学费上涨的压力。一些学生可能会面临更多的贷款需求,或者需要寻找兼职工作来减轻经济负担。这对于他们的学业和个人发展可能带来额外的挑战。事实上,高校涨学费并非一件新鲜事。新世纪以来,我国高校规模最大的一次学费涨价潮出现在2014年前后。2007年,我国高校学费出现超60%的涨幅,教育部要求高校学费五年内不得上涨。然而“限涨令”到期后,却出现了“报复性”上涨。早在2007年,全国高校形成的债务就达到了两千亿元。可见,高校对于涨学费的“冲动”非常明确。近年来,包括广东、天津、浙江、江苏、河南、辽宁、浙江等多个省份已经宣布上调高校学费价格。财政部、教育部2025年6月印发的《高等学校财务制度》中提到,我国的高校收入按顺序优先级罗列,分为:(1)财政补助收入,包括财政教育拨款、财政科研拨款、财政其他收入;(2)事业收入,包括教育事业收入(学费、考试费等)、科研事业收入;(3)上级补助收入;(4)附属单位上缴收入;(5)经营收入,即在教学、科研及其辅助活动之外,开展非独立核算经营活动取得的收入等;(6)其他收入,包括投资收益、利息收入、捐赠收入、非本级财政补助收入等。教育部国家教育发展研究中心体制室主任王烽曾从经费来源作过介绍:“高校经济来源一般有:学费/校办企业/国家财政拨款和社会捐赠。对于重点大学来说,后三方面来源非常充足,而对于普通大学来说,可能只能依赖学费和财政拨款。但财政拨款又不充足,学费涨价也是无可奈何的事。”根据教育部公开资料,2025年该部财政拨款为1354.7亿元,比2025年减少24.7亿,主要原因是国家发展与改革部门安排的基本建设支出减少。高等教育支出类预算数为1025.6亿元,比2025年财政拨款执行数减少39.6亿。主要原因是国家发展改革部门安排的基本建设支出减少所致。同时,根据教育部直属高校公布的2025年预算,多个高校的总经费较去年有很大幅度的上涨。据统计,清华大学首次突破400亿,以410.93亿元遥遥领先;排名第二的是浙江大学,首次突破300亿,总经费为309.01亿元;其次是上海交通大学(265.16亿)和北京大学(222.47亿),这4所高校总经费均在200亿元以上。维持一个学校的运转,需要非常大的成本。一位高等教育研究学者表示,财政拨款,也就是经费,大多是“人头费”,用到教师及科研上。学生自己交的学费实际上是给学生自己花的。现在的学费上涨本质上还在于经济发展情况。成本不断上涨的情况下,学校也要想办法解决成本问题。“在中国这样的公立体系内,应该上涨的是研究生学费。一方面提升研究生上学成本,另一方面提高研究生教育质量”,该学者认为,研究生教育不是适合每个人的,属于高层次的培育。该学者还提到,目前中国高等教育招录规模已经实现普及化,适龄人口大约有57%都能够上大学。发达国家这个数据一般能达到百分之七八十。这样的背景下,将来入学率肯定还会提升。他对本科生学费上涨持保留态度。
04
高校学费该怎么涨?
为管控高校学费上涨,2015年,教育部曾要求高校学费标准不高于生均培养成本的25%。上海市对于此轮涨价提到,上调学费标准主要是出于健全成本分担机制的需要。相关文件中称,根据成本监审结果,上海2025-2025年监审的10所高校生均教育培养成本年均约为6.4万元,学费约占年生均教育培养成本8.4%。这明显低于规定的“学费占年生均教育培养成本比例最高不得超过25%”的上限。社会各界对于公立高校涨学费的批评,主要在于学费的使用情况未依法向社会公开,生均培养成本成了一笔“糊涂账”。若从学生群体的体会来看,也可能存在“学费涨而服务未提升”的情况。对此,你怎么看?
-
- 拿破仑是意大利人,为何能成为法国皇帝?
-
2025-10-11 16:47:43
-
- 中文系的必读书目 | 阿袁《小诗经》
-
2025-10-11 16:45:28
-
- “世界第一强国”冈比亚:非洲最穷国家,欧洲老年女性的浪漫天堂
-
2025-10-11 16:43:13
-
- “恋爱47次”的陈意涵,为何偏偏嫁给他?
-
2025-10-11 16:40:58
-
- 许亚军的四个老婆,许亚军现任妻子简历
-
2025-10-11 11:11:01
-
- 余姚旅游必去十大景点(6个景区的山水风光)
-
2025-10-11 11:08:46
-
- 使用电动牙刷有什么危害?揭露三大危害坏处
-
2025-10-11 11:06:31
-
- “长相乳滑”的历史真相
-
2025-10-11 11:04:16
-
- 再看《插翅难逃》,发现张世豪与彭家驹的一场豪赌,暗藏三种深意
-
2025-10-11 11:02:02
-
- 汪东城和炎亚纶为什么闹翻(炎亚纶汪东城事件始末)
-
2025-10-11 10:59:47
-
- 35亿美元35枚“东风—3”导弹,中国对沙特军售始末
-
2025-10-11 10:57:32
-
- 万万没想到他们竟然是亲戚!许绍雄是鲁迅侄子
-
2025-10-11 10:55:17
-
- 泰国租妻价格(揭秘泰国租妻文化)
-
2025-10-11 10:53:03
-
- 红楼香气
-
2025-10-11 10:50:48
-
- 图王鲨鱼哥第37期 100张七龙珠、情侣头像
-
2025-10-11 05:04:32
-
- 东方第一哨和珍宝岛(下)
-
2025-10-10 23:38:17
-
- 中华十大名山排行榜,山东泰山居首,四川峨眉山第三
-
2025-10-10 23:36:02
-
- 长沙黑老大文烈宏银行流水六七十亿,2000万买通协警逃狱
-
2025-10-10 23:33:48
-
- 测评 - 儿童智能手表,你真的选对了吗?我们测了10款发现...
-
2025-10-10 23:31:33
-
- 潘晓婷之父潘健:难忘与女儿练球生涯,如今只担心女儿婚姻大事
-
2025-10-10 23:29:18



开封犹太人在中国17个姓氏,实际上只有七姓八家,现存6姓
我国南方和北方是怎么划分的,你知道吗?