圆锥的表面积公式简易(小学六年级数学难点讲解——圆锥表面积与体积)
圆锥的表面积公式简易(小学六年级数学难点讲解——圆锥表面积与体积)
同学们大家好,今天吴老师为大家讲解一下圆锥的表面积与体积。圆锥的表面积与体积是一个难点比较不好理解,希望同学们认真学习,仔细思考。
圆锥的表面积与体积
以直角三角形的直角边所在直线为旋转轴,其余两边旋转而形成的曲面所围成的几何体叫做圆锥。圆锥的高h:圆锥的顶点到圆锥的底面圆心之间的最短距离叫做圆锥的高;圆锥母线l:圆锥的侧面展开形成的扇形的半径或底面圆周上任意一点到顶点的距离。
(一)、圆锥的表面积等于圆锥底面圆面积加圆锥侧面扇形面积。
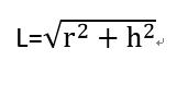
圆锥的底面是一个圆,底面圆的面积用π可以求出。圆锥的侧面展开后是一个扇形,因为这个扇形的半径(圆锥母线l)与圆锥的高h和圆锥的底面圆半径r可以组成一个直角三角形,所以圆锥侧面扇形的半径(圆锥母线l)可以用勾股定理求出,即:

。
要想求出圆锥侧面扇形的面积首先需要知道求扇形面积的方法,扇形面积的计算公式方法常用的有两种:
方法一:用扇形占其所在圆面积的比例计算出扇形的面积。
首先用圆锥侧面扇形的半径(圆锥母线l)可求出扇形所在圆的面积π。再求出圆锥侧面扇形的弧长(即:圆锥的底面圆周长2πr)与圆锥侧面扇形所在圆的周长2πl之比,因为圆锥侧面扇形的弧长与圆锥侧面扇形所在圆的周长之比等于圆锥侧面扇形面积与其所在圆面积之比,这样就可以求出圆锥侧面扇形的面积。然后把圆锥的底面圆面积加上圆锥侧面扇形的面积就可以求出圆锥的表面积。公式为:

方法二:用扇形面积的计算公式求圆锥侧面扇形的面积。
扇形面积=扇形弧长×扇形半径÷2
在知道扇形面积的计算公式且就可以计算圆锥侧面扇形的面积,出圆锥侧面扇形的弧长L等于圆锥的底面圆周长2πr,圆锥侧面扇形的半径R等于圆锥母线l。
这时我们会发现通过以上两种方法计算得出的圆锥侧面扇形的面积公式最后都为:S圆锥侧面=πrl,最终我们得出圆锥的表面积计算公式为:

(二)、圆锥的体积等于同底等高圆柱体体积的三分之一。



-
- 阴气重是什么意思解读(读完就不要再迷信了)
-
2023-12-22 09:25:44
-
- 如何判断饺子熟了吗?三个好方法要收藏好
-
2023-12-22 09:23:39
-
- 擒拿技巧教学(3个擒拿技法,详细图解和动态教学)
-
2023-12-22 09:21:35
-
- 河蟹吃什么可以养活(池塘养殖河蟹之常见饲料种类及投喂技术分享)
-
2023-12-22 09:19:30
-
- 蹲便池堵了怎样才能疏通?教你小妙招
-
2023-12-22 09:17:25
-
- 地牢猎手4能联机吗 地牢猎手4多人模式玩法详细解析 召集小伙伴
-
2023-12-22 09:15:20
-
- 厕所堵了有没有什么更方便的途径疏通呢?
-
2023-12-22 09:13:15
-
- 中国第一个登上维也纳金色大厅指挥台的女性华人指挥家——张培豫
-
2023-12-22 06:17:59
-
- 胃寒的症状有哪些表现(胃寒的人,身体会有哪些表现?3大症状,或是胃寒的表现
-
2023-12-22 06:15:54
-
- 台式电脑机箱怎么选 台式机机箱选购指南丨再炫酷的外观,都不如兼容性来的重要
-
2023-12-22 06:13:49
-
- 如何解决便秘 便秘的问题和解决办法,我们一次性回答清楚
-
2023-12-22 06:11:44
-
- 巨齿鲨的天敌是什么动物(盘点5种轻松秒杀巨齿鲨的史前动物,巨型乌贼入选,
-
2023-12-22 06:09:39
-
- 为什么不能摸死人的手有什么说法(无关恐惧,即使亲人也不要)
-
2023-12-22 06:07:34
-
- 手机电路原理图分析(手机原理图的解读)
-
2023-12-22 06:05:30
-
- 适合人类居住的星球银河系(人类不再孤独?NASA:银河系中有3亿颗宜居星球,
-
2023-12-22 06:03:25
-
- 地球以每秒465米的速度自转,为何我们没有一点感觉?
-
2023-12-22 06:01:20
-
- 渤海属于哪个省(渤海完全属于中国,外国船只无权擅入,多亏山东的一座岛)
-
2023-12-22 05:59:15
-
- 闹钟(定几个闹钟最有利于起床?)
-
2023-12-21 17:20:12
-
- 决定系数(决定系数(R平方)解释)
-
2023-12-21 17:18:07
-
- 有容乃大是什么意思
-
2023-12-21 17:16:02



青色标准色卡(青色标准色RGB)
地铁线路图昆明5号线(5号线来了快上车)