决定系数(决定系数(R平方)解释)
决定系数(决定系数(R平方)解释)
什么是R平方,它有什么作用?
R平方是用于评估我们的回归模型的拟合优度的统计度量。
在R平方中,我们有一个基线模型,它是最差的模型。该基线模型没有使用任何独立变量来预测因变量Y的值。相反,它使用因变量Y的观测响应的平均值,并始终将该平均值预测为Y的值。
我们适合的任何回归模型都与该基线模型进行比较,以了解它是否合适。
换句话说,
R-squared简单地解释了与基线模型相比,您的模型有多好

上图中的红线是基线模型,它总是预测因变量Y的观测响应的均值作为Y的值,而不考虑自变量的值。
绿线是我们的拟合模型,它利用自变量来预测因变量Y的值。
R平方的数学表示
R平方由下式给出

其中SSE是我们的回归模型的误差平方的总和

而SST是我们的基础模型的误差平方的总和。

R平方值可以取的范围是多少?
我们最糟糕的回归模型可能是基线模型本身。
因此,在这种情况下,SSE将等于SST。
所以R平方将等于
R平方= 1-1 = 0

这就是R平方= 0的模型的样子
我们最好的模型将是完美适合所有数据点的模型,所以在这种情况下SSE将为0。
所以,R平方= 1-0 = 1表示一个完美的模型。

与模型R平方接近1
所以R平方可以取0到1之间的值,其中接近于0的值表示不合适,而接近1的值表示完美契合。
如何解释R平方?
如果R平方= 0.93,则意味着因变量Y的93%变化由我们模型中存在的自变量解释。
使用R平方的缺陷
R-squared可以被人为地提高。也就是说,我们可以通过简单地向模型添加越来越多的自变量来增加R平方的值。
换句话说,在添加更多独立变量时,R平方不会减少。
有时候,这些变量中的一些可能非常微不足道,对我们的模型来说可能是无用的。
为什么会发生?

当SSE / SST最小时,R平方最大。
为了SSE / SST最低,SSE应该是最小的。
现在,随着我们向模型添加更多解释变量,SSE将会减少。这是因为我们在回归模型中添加了更多的解释变量,所以我们的回归模型会更好地拟合数据点,因此平方误差的总和会减少。因此即使变量对我们的模型不重要,R平方也会增加。
为了避免由R平方引起的这个问题,我们使用调整的R平方
调整R平方
调整后的R平方简单地惩罚了添加更多无用变量的模型。
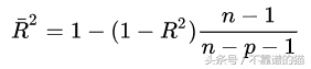
调整的R平方由下式 给出

n =没有数据点
p =模型中不使用的独立变量
调整的R平方是如何工作的?
随着我们模型中增加自变量的 数量 ,n-p-1减少,所以如果我们除以

通过越来越小的数字,结果值将越来越大,并且当从1减去该值时,调整的R平方 将减小。
所以通过增加更多无用的变量,调整的R平方的值减小。
例
考虑以下数据

考虑使用x1和x2作为独立变量的模型1来预测变量y的值

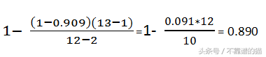
这个模型的R平方= 0.909。调整的R平方为此计算为

现在,如果我们选择将另一个变量x3添加到我们以前的模型中

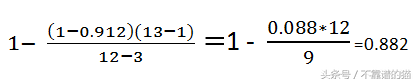
这个模型的R平方= 0.912,比我们以前的模型略高。调整的R平方为此计算为

注意在这个例子中,当我们将变量x3添加到我们的模型中时,R平方的值的增加(与之前的模型相比)非常小(0.003),除此之外分母的值已经从10降到9。因此调整R平方的结果值下降,表明x3对我们的模型不重要。
这很好解释了当我们向模型中添加越来越多的无用变量时,R值的平方值不会显着增加,调整的R值的平方值就会下降。
R平方与调整的R平方有什么不同?
R平方告诉你模型如何适合数据点,而调整的R平方告诉你模型的特定特征有多重要。
-
- 有容乃大是什么意思
-
2023-12-21 17:16:02
-
- 挽回情感破冰十二大套路(夫妻感情破冰套路)
-
2023-12-21 17:13:57
-
- 通缩意味着什么(通缩时代比通胀更可怕)
-
2023-12-21 17:11:53
-
- 岳飞的师傅是谁(周侗的七个徒弟排名)
-
2023-12-21 17:09:48
-
- 青尾鲴(青尾鲴鱼图片)
-
2023-12-21 17:07:43
-
- 羊肠小道(羊肠小道大峡谷组曲)
-
2023-12-21 17:05:38
-
- 干海带怎么做好吃(干海带怎么做好吃做法视频)
-
2023-12-21 17:03:33
-
- 文艺复兴时期的建筑(文艺复兴时期的建筑主要继承了)
-
2023-12-21 17:01:28
-
- 陈炯明(陈炯明炮轰总统府的原因)
-
2023-12-21 05:11:59
-
- 百度广告管家(百度广告管家下载)
-
2023-12-21 05:09:54
-
- iso6(iso61491中文版)
-
2023-12-21 05:07:49
-
- 招商银行网上查余额(招商银行网上查余额方法)
-
2023-12-21 05:05:44
-
- 佳能打印机墨盒加墨(佳能打印机墨盒加墨不识别)
-
2023-12-21 05:03:39
-
- 何润东演的电视剧(殷桃何润东演的电视剧)
-
2023-12-21 05:01:35
-
- 大足石刻简介(大足石刻简介300字)
-
2023-12-21 04:59:30
-
- c语言程序设计软件(c语言软件)
-
2023-12-21 04:57:25
-
- 西安美食(西安6大街头美食,老陕和外地人都爱吃,不愧是“北方美食之都”)
-
2023-12-21 04:55:21
-
- 爱好旅游打一成语(爱好旅游打一成语为什么是喜出望外)
-
2023-12-21 04:53:15
-
- 电子车票 普快还需要纸质车票吗?
-
2023-12-21 02:37:58
-
- 不锈钢门(入户防盗门什么材质的好?)
-
2023-12-21 02:35:53



青色标准色卡(青色标准色RGB)
地铁线路图昆明5号线(5号线来了快上车)