变压器容量类别(变压器的容量选择及台数选择)
变压器容量类别(变压器的容量选择及台数选择)
来源:电力工程技术
由变压器的容量选择台数
如果变压器的额定容量选择为SN,则变压器的台数如何确定从而使变压器的运行效率更高。例如,当负载功率为S时,n与n - 1台变压器的负载系数分别为:
βn = S / nSN
βn - 1 = S / (n-1)SN(17)
如图2所示,n与n - 1台变压器的负载分别在变压器最优负载点两侧。因此只需比较两者的运行效率,取最大者为最优选择。

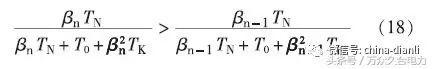
将n与n - 1台变压器的负载系数式带入式(15)中,并假设n台变压器效率高,如下式所示:

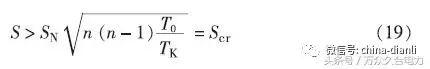
将式(17)带入式(18),并化简得:

式中:Sc r —— 经济运行临界负荷,kVA。
上式表明:负载功率如果大于临界负荷,则选择n台变压器更经济,运行效率更高;反之,n - 1台变压器更经济,运行效率更高。如果将式(19)中的统一变量符T0与TK换为综合功率变量符,则式(19)中的经济运行临界负荷Sc r变为:

2由变压器的台数选择容量
当变压器的台数为n时,则变压器额定容量SN1和SN2(SN1 > SN2)的负载系数分别为:
βS N1 = S / nS N1
βS N2= S / nS N2(21)
将上式中的负载系数带入到式(15)中,并假设SN 1容量的变压器效率高,如下式:

化简上式可得:

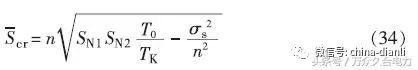
上式与式(19)分析的结果类似,即只要满足负载功率大于经济运行临界负荷,则选择S N1较大容量的变压器运行效率更高;反之,选择SN2较小容量的变压器运行效率更高。将表1中的变量代替上式中的T0与TK,则可得到相应的经济运行临界负荷。

变压器的变负荷经济运行
以上有关变压器经济运行的分析都是基于变压器负载为恒定功率时得出的结论。但现实中变压器的负载是随时变化的,不同行业的用电量的变化规律不同,例如,工作制的不同、用电负荷种类的不同等。因此在变负荷下如何选定变压器的容量从而使电能被高效地传输利用对工农业生产、生活具有显著的经济效益。

当变压器在一段时间内,比如一年内,输出的电能为W1,变压器总损耗ΔW越小,则变压器的传输效率越高。为分析的简便,利用变压器统一的传输效率公式(15)加以分析。将式(15)中的功率在设定的时间段内与时间乘积后求和,便得到变压器输出电能与输入电能比值形式的传输效率公式如下:

式中:
ti —— 时间段,1 h;
βi —— 在时间段ti内的负载系数;
H —— 一年的小时数,H = 8 760 h;
W1 —— 变压器输入电能,W;
W2 —— 变压器输出电能,W。
将上式中的负载系数作如下变换:
βi = βmax ki(25)
式中:βmax —— 变压器运行时最高负载系数;
ki —— 对应时间段ti内负载与最大负载的比
值,0 ≤ ki ≤ 1。
将上式代入式(24)中化简得:

对上式求导并令其导数等于零可得下式:

上式表明要使变压器最经济运行,应使变压器的最大负载率等于βmax jT 。现实中负荷是不断变化的,变压器最优经济运行与负荷的变化分布情况以及变压器本身特性参数有关。
当已知最大运行负荷,变压器经济运行容量选择计算式为:

式中:S max —— 最大负荷功率,kVA。
依据上式计算出的变压器容量,可使变压器最大效率地传输电能。但是变压器的容量选择是分等级的,例如10 kV变压器容量等级分为315 kVA、400 kVA、500 kVA等。再有变压器台数的选择是整数变化的。因此上式计算容量很可能介于变压器容量等级之间。
当变压器台数n确定后变压器选择容量SN 1还是SN 2(SN 1 > SN 2);或者变压容量SN确定后是选择n还是n - 1台。应用本文第3节的分析方法对式(26)进行推导可得出以下两点结论:
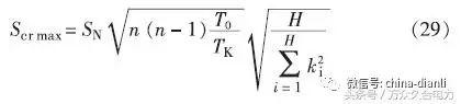
a. 由变压器的容量选择台数时的经济运行临界负荷(最大负荷)计算式为:

当最大负荷满足S max > Scr max时,选择n台变压器运行最优;反之,选择n - 1台变压器。
b. 由变压器的台数选择容量时的经济运行临界负荷(最大负荷)计算式为:

当最大负荷满足S max > Scr max 时,选择SN 1(SN 1 > SN 2)容量的变压器运行最优;反之,选择SN 2容量的变压器。
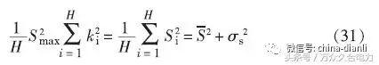
为了得出更为一般形式的经济运行临界负荷计算式,依据概率论的结论作如下推导:

式中:S —— 变负荷的平均值,kVA;
σs —— 变负荷的标准方差,kVA。
将上式带入到式(28)中可得其恒等变换为:

当已知负荷的平均值及标准方差时,根据上式可计算出变压器的经济运行总容量(等于变压器的台数与单台容量的乘积)。同样式(29)与式(30)的负荷平均值、方差形式的恒等变换在此不再详细推导,直接给出结论形式如下:
a. 由变压器的容量选择台数时的经济运行临界负荷(平均负荷)计算式为:

当

时,选择n台变压器;反之,选择n - 1台变压器。
b. 由变压器的台数选择容量时的经济运行临界负荷(平均负荷)计算式为:

当

时,选择SN 1(SN 1 > SN 2)容量的变压器;反之,选择SN 2容量的变压器。
来源:电力工程技术
,
-
- 阿里巴巴西溪园区大楼结构(盘点互联网企业办公地的变迁)
-
2023-10-31 06:16:55
-
- 电力变压器的规格型号有哪些(电力变压器的型号及技术参数)
-
2023-10-31 06:14:40
-
- 长方体底面积公式(扇形的面积公式和周长公式)
-
2023-10-31 06:12:25
-
- 经典老歌一代人的回忆(最经典老歌10首)
-
2023-10-31 00:58:23
-
- 二胎政策为何再次实施(二胎为什么放开)
-
2023-10-31 00:56:08
-
- 山西陈醋四大品牌(中国四大名醋)
-
2023-10-31 00:53:53
-
- 两千以内的好手机(两千以内的手机哪款性价比高)
-
2023-10-31 00:51:38
-
- 盗墓笔记 黑瞎子为什么不死(为什么黑瞎子最后亡了)
-
2023-10-31 00:49:23
-
- 尚气为啥不在中国上映(尚气为什么不在国内上映)
-
2023-10-31 00:47:08
-
- 打印机卡纸是什么情况(打印机卡纸是什么原因怎么处理)
-
2023-10-31 00:44:53
-
- 天然芝士和加工芝士的区别-(芝士是什么东西)
-
2023-10-31 00:42:38
-
- 哪一年属鸡的是凤凰命(哪年的属鸡的是凤凰命)
-
2023-10-31 00:40:23
-
- 本田xrv算什么档次(本田xrv真实口碑到底怎么样)
-
2023-10-31 00:38:08
-
- 长沙黄兴路步行街人山人海(曾经遍布街头巷尾)
-
2023-10-30 18:49:20
-
- 脑白金的创始人是谁呢,详解脑白金之父史玉柱的创业故事
-
2023-10-30 18:47:05
-
- 南拳妈妈所有的歌(南拳妈妈的这首歌)
-
2023-10-30 18:44:50
-
- 浩瀚的宇宙,真的没有外星人吗?来自多位“高级别”人员的透露
-
2023-10-30 18:42:35
-
- 官方对霍尊事件的最新态度(火风发文力挺儿子霍尊)
-
2023-10-30 18:40:20
-
- 北大朱令铊中毒案现在怎样了(清华才女朱令离奇)
-
2023-10-30 18:38:05
-
- 金庸笔下30大美女排行榜(金庸笔下五大绝世美女)
-
2023-10-30 18:35:50



开封犹太人在中国17个姓氏,实际上只有七姓八家,现存6姓
河北区划调整猜想:撤销邢台市,整体并入邯郸市