铜Cu导线小知识
铜Cu导线小知识
从电气时代初期,铜便因其独特而优良的特性被广泛使用于电气应用中。铜是一种有延展性和优良导电性能的金属材料。
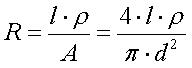
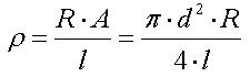
导体电阻 (以铜线为例)
长度为 l 的铜线电阻R的计算公式如下:

其中
R 是导体电阻,单位:欧姆
l 是导体长度,单位:米
ρ 是导体电阻率(又称比电阻)
A 是截面积, 单位:平方毫米
π 是常数
d 是线材标称直径,单位:毫米
电阻率 ρ
电阻率(又称比电阻)是衡量导体对电流阻碍作用强弱的物理量。电阻率越低,电荷越容易通过导体。铜的电阻率为0.0171 mm²/S*m,是导电性能最好的导体之一,仅次于纯银。

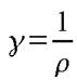
电导率 γ
电导率或电导系数是衡量物质导电性能好坏的物理量,它是电阻率的倒数。退火铜线的最小电导率为58 S*m/mm²,相当于100% IACS(国际退火铜标准),实际典型值为58,5-59 S*m/mm²。

电阻温度系数
线材电阻取决于所处的环境温度,电阻和温度的关系可用电阻温度系数α 来表示。在温度T 时,线圈电阻或线材电阻的计算公式如下:

其中
α 是电阻温度系数
RT是温度T时的线圈或线材电阻
R20是温度20°C时的线圈或线材电阻
-
- 清末的圆明园海晏堂
-
2025-06-10 10:17:17
-
- 每日一字352:餐
-
2025-06-10 10:15:02
-
- 《神话》虞姬扮演者张萌除了演技,没想到还有这么美的一面
-
2025-06-10 10:12:47
-
- 贵州大学怎么样,值不值得报考?
-
2025-06-10 10:10:32
-
- CBA球馆叁-南昌国体中心,宁波雅戈尔体育馆
-
2025-06-10 10:08:18
-
- 打马球镜
-
2025-06-10 03:57:06
-
- 坐飞机应该提前多长时间到达机场?
-
2025-06-10 03:54:51
-
- 张钰琪参加快本录制,伯克利入学被迫延迟,琪迹:就当社会实践
-
2025-06-10 03:52:36
-
- 杨幂翻牌王鸥黑粉怎么回事 杨幂王鸥有何恩怨来龙去脉揭秘
-
2025-06-10 03:50:22
-
- 我们结婚了第五季星宿夫妇猴岛约会 Joe强迫陆星材看自己
-
2025-06-10 03:48:07
-
- 唐山站最新列车时刻表
-
2025-06-10 03:45:52
-
- 老书虫强烈推荐:《时空开发指南》,与国家一起开发异世界,真香
-
2025-06-10 03:43:37
-
- 海贼王:和之国篇 - 上篇,信息汇总
-
2025-06-10 03:41:23
-
- 白色情人节是哪一天几月几日 314白色情人节什么意思
-
2025-06-10 03:39:08
-
- 白鹿原田小娥的结局是什么?
-
2025-06-10 03:36:53
-
- 上联:天道酬勤宝地奔驰千里马,下联?《黄陂商会楹联集锦》
-
2025-06-09 21:32:16
-
- 人类“自杀”死亡痛苦程度对照表,珍爱生命,好好活着
-
2025-06-09 21:30:01
-
- 关于猪瘟的特征以及防控措施
-
2025-06-09 21:27:46
-
- 缘浅岁月深,四月相知,多少相思负流年
-
2025-06-09 21:25:32
-
- 平面画册设计中的出血是什么、出血线设置
-
2025-06-09 21:23:17



开封犹太人在中国17个姓氏,实际上只有七姓八家,现存6姓
河北区划调整猜想:撤销邢台市,整体并入邯郸市