污水处理格栅间的作用 污水格栅设计
污水处理格栅间的作用 污水格栅设计
一般规定
格栅由一组平行的金属条或者筛网制成,安装在污水渠道上、泵房集水井的进口处或者污水处理厂端部,用以截留较大悬浮物。
一般情况下格栅分粗格栅和细格栅两道,粗格栅作用是拦截较大的悬浮物以便保护水泵;细格栅作用是拦截粗格栅为截留的悬浮物。

设计参数
1、格栅间隙应根据水泵的要求确定
2、格栅间隙符合的要求:①人工清除的栅间隙是25-40mm
②机械清除的栅间隙是16-25mm
3、栅渣量的经验确定值:栅间隙是16-25mm时,0.1-0.05m³栅渣/1000 m³污水
栅间隙是30-50mm时,0.03-0.01m³栅渣/1000m³污水
4、栅渣量超过0.2 m³/d的应采用机械清渣。
5、机械格栅不少于2台,如为一台时,应设人工清除格栅备用。
6、过栅流速一般采用0.6~1.0m/ s 。
7、栅前渠道内的水流速度一般采用0.4~0.9m/ s 。
8、格栅倾角一般采用45~75。
9、通过格栅的水头损失,粗格栅一般为0.2m,细格栅一般为0.3~0.4m。
10、格栅间必须设工作台,台面高出栅前最高设计水位0.5m。工作台上应有安全和冲洗设施。
11、格栅间工作台两侧过道宽度≥0.7m。工作台正面过道宽度,人工清除时≥1.2m,采用机械清除时≥1.5m。
12、机械格栅动力装置一般宜设在室内,或采取其他保护设备的措施。
13设置格栅装置的构筑物,必须考虑设有良好的通风设施。
14、北方地区格栅应考虑防止栅渣结冰的措施。
15、格栅间内应安设吊运设备,以进行格棚及其他设备的检修,栅渣的日常清除等工作。
格栅分类及适用条件与特点
常用的格栅包括:高链式、反捞式、回转式、阶梯式、钢丝绳牵引式、内进式及旋转式。其特点见下面表格
格栅除污机适用条件及特点比较
设备名称
适用条件
特点
高链式格栅除污机
用于泵站进水渠(井),
拦截捞取水中的漂浮物,以保护水泵正常运行,一般作中、细格栅使用
(1)水下无运转部件,使用寿命长,维护检修方便(2)构造简单,运行可靠,适用水深不大于2m
反捞式栅除污机
用于泵站前,特别泥砂沉积量较大的场合,拦截、捞取水中漂浮物,一般作粗、中格栅使用
(1)齿粑栅后下行,栅前上行捞渣,不会将栅渣带入水下,捞渣彻底(2)当底部沉积物较多时,不会堵耙,避免造成事故
回转式栅除污机
捞取各种原水中漂浮物,一般设在粗格栅之后,用作中格栅
(1)结构紧凑,缓冲卸渣(2)耐磨损,运行可靠,可全自动运行
阶梯式栅除污机
是一种典型的细格栅,适用于井深较浅,宽度不大于2m的场合
(1)水下无传动件,结构合理,使用寿命长,维护保养方便(2)采用独特的阶梯式清污原理,可避免杂物卡阻及缠绕
钢丝绳牵引式栅除污机
主要用于雨水泵站或合流制泵站,拦截粗大的漂浮物或较重的沉积物,一般作粗、中格栅使用
(1)捞渣量大,卸渣彻底,效率高(2)宽度可达4m,最大深度可达30m(3)易损件少,水下无运转部 件,维护检修方便,运行极其安全可靠
内进式栅除污机
主要用于去除城市污水和工业废水中的票浮物,该机集截污、齿耙除渣、螺旋提升,压榨脱水四种功能于册体
(1)集多种功能于一体,结构紧凑(2)过滤面积大,水头损失小(3)清渣彻底,分高效率高(4)全不锈钢结构,维护工作但设备价格相对较高
旋转式齿耙栅除污机
主要用于城市污水和工业废水处理中截取并自动清除污水中的漂浮物和悬浮物,般设在粗格栅之后,是典型的细格栅
(1)无栅条,诸多小齿耙相互连接组成一个较大的旋转面, (2)卸渣效果好(3)齿粑强度高,有尼龙和不锈钢两种材质(4)有过载保护措施,运行可靠
格栅计算实例
某城市污水处理厂的最大设计污水量Qmax=0.4m³/s,总变化系数Kz=1.39,求格栅各部分尺寸。
(1)栅槽宽度
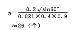
①栅条的间隙数 n 个

式中 Q -最大设计流量, 单位 m³/s ;
α —格栅倾角取60°;
b-栅条间隙,单位m,取 b=0.021m
n-栅条间隙数,单位个:
h-栅前水深, 单位m ,取 h =0.4m
v-过栅流速, m/s ,取 v =0.9 m/s 。

格栅设两组,按两组同时工作设计,一格停用,一格工作校核。
则:

②栅条宽度B
栅槽宽度一般比格栅宽0.2~0.3m,取0.2m;
设栅条宽度 S =10mm(0.01m)
则栅槽宽度 B = S ( n -1)+ bn 十0.2
=0.01×(26一1)+0.021×26十0.2=0.996( m )≈1.0( m )
(2)通过格栅的水头损失ん
①进水渠道渐宽部分的长度 L 。设进水渠宽 B ,=0.85m,其渐宽部分展开角度α=20°,进水渠道内的流速为0.77m/s
L1=B-B1/2tanα1=1.0-0.85/2tan20°≈0.21m
②栅槽与出水渠道连接处的渐窄部分长度L2 单位m
L2 = L1/2=0.21/2≈0.11m
③通过格栅的水头损失h1单位m
h1= h0*k

式中 h1—设计水头损失, m ;
h0—计算水头损失, m ;
g —重力加速度, m/s²;
k ——系数,格栅受污物堵塞时水头损失增大倍数,一般采用3
ε—阻力系数,与栅条断面形状有关,可按手册提供的计算公式和相关系数计算;设栅条断面为锐边矩形断面, β=2.42。

(3)格栅后槽总高度H 单位m
设格栅前渠道超高h2=0.3m
H= h+ h1+ h2=0.4+0.097+0.3=0.797m≈0.8m
(4)格栅槽总长度L,单位m
L=L1+L2+1.0+0.5+H1/ tanα
式中,H1为栅前渠道深,H1= h+ h2 m
L=0.21+0.11+1.0+0.5+(0.4+0.3)/ tan60°=2.22m
(5)每日栅渣量 W m³/d
W=(86400 * Qmax * W1)/1000 * Kz
式中,W1为栅渣量 单位m³/1000 m³污水
格栅间隙16-25mm时 W1=0.10-0.05 m³/1000 m³污水
格栅间隙30-50mm时 W1=0.03-0.1 m³/1000 m³污水
本工程格栅间隙为21mm ,取W1=0.07 m³/1000 m³污水
W=(86400 * 0.4 * 0.07)/1000 * 1.39=1.74 m³/d>0.2 m³/d
应该采用机械清渣
-
- 一文读懂 | 弥散性血管内凝血
-
2024-02-19 03:18:42
-
- 第一次进入男朋友的身体,是种什么体验?
-
2024-02-19 03:16:27
-
- 深入探究AI、ML和DL的含义及其区别
-
2024-02-19 03:14:12
-
- 一分钟心跳多少次才算正常? 一分钟心跳多少次比较好
-
2024-02-19 03:11:57
-
- 大虾做法大全家常简单好吃 大虾做法大全家常炒菜
-
2024-02-19 03:09:43
-
- 两三千的种植牙 3000块的种植牙和6000的区别
-
2024-02-19 03:07:28
-
- 什么是CFO?什么是CEO?带你了解CFO到底是什么
-
2024-02-19 03:05:13
-
- 山与山之间的距离叫什么 山与山之间的缝隙
-
2024-02-19 03:02:58
-
- 香港上市公司bc科技集团 bc公司
-
2024-02-18 19:33:24
-
- 预想不到的网友面基 发现竟然是我的亲戚
-
2024-02-18 19:31:09
-
- 提肛运动每天做多长时间 每天进行提肛的运动
-
2024-02-18 19:28:55
-
- cnc加工流程是什么 cnc加工是干嘛的
-
2024-02-18 19:26:40
-
- 繁体字一览 繁体字大集合
-
2024-02-18 19:24:25
-
- 法学是一门科学
-
2024-02-18 19:22:10
-
- 本科提前批需要达到本科线吗 “本科提前批”
-
2024-02-18 19:19:55
-
- 古汉语100个生僻字词 古汉语生僻字大全
-
2024-02-18 19:17:41
-
- 什么牌子的洗地机好用?2023家用洗地机选购指南 什么牌子的洗地机好用?2023家
-
2024-02-18 19:15:26
-
- 桌游solo什么意思 为什么桌游没什么人玩
-
2024-02-18 19:13:11
-
- road lane way track的区别 road和roads的区别
-
2024-02-18 12:03:39
-
- 离婚诉讼怎么处理 离婚诉讼流程及准备材料
-
2024-02-18 12:01:24



开封犹太人在中国17个姓氏,实际上只有七姓八家,现存6姓
河北区划调整猜想:撤销邢台市,整体并入邯郸市