开方公式(如何快速开平方根?)
开方公式(如何快速开平方根?)
今天我在图书馆看到一本国外的科普书,里面聊到了如何在不依赖计算器的情况下,快速开平方根。
我看了之后觉得这个方法很新颖,也特别有效,所以在这里我特地向大家分享。
一、

如何快速开平方根?
1、首先

在1和2之间,我们可以假设

,这里a是1个比1小的数字。
2、将上述等式两边同时平方,可得:2=1+2a+a*a。
3、由于a<1,于是a*a是一个比较小的数,所以可以将它忽略掉。
4、可得2=1+2a,a=0.5,于是

近似等于1.5。
(取1位小数)
5、若想结果更精确些,我们可以再次利用上面的方法来求解。
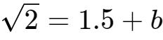
6、设

,两边同时平方后可得:2=2.25+3b+b*b。
7、由于b*b是一个很小的数,所以可以将它忽略掉。
8、于是2=2.25+3b,b=-1/12。
9、于是

=1.41666……=1.42。
(取2位小数)
10、如果我们还想结果更精确些,我们可以再一次利用上面的方法来求解。
11、设

,两边同时平方后可得:2=2.0164+2.84c+c*c。
12、由于c*c是一个很小的数,所以可以将它忽略掉。
13、于是2=2.0164+2.84c,c=-0.00577
……
14、于是

=-1.4142253……=1.414。
(取3位小数)
15、而我们知道

实际等于1.4142135623731,这样两者就很接近了。
每操作一步,小数点可精确一位。
二、

如何快速开平方根?
1、首先

在1和2之间,我们可以假设

,这里a是1个比1小的数字。
2、将上述等式两边同时平方,可得:3=1+2a+a*a。
3、由于a<1,于是a*a是一个比较小的数,所以可以将它忽略掉。
4、可得3=1+2a,a=1,于是

近似等于2.0。
(取1位小数)
5、若想结果更精确些,我们可以再次利用上面的方法来求解。
6、设

,两边同时平方后可得:3=4+4b+b*b。
7、由于b*b是一个很小的数,所以可以将它忽略掉。
8、于是3=4+4b,b=-1/4=-0.25。
9、于是

(取2位小数)
10、如果我们还想结果更精确些,我们可以再一次利用上面的方法来求解。
11、设

,两边同时平方后可得:3=3.0625+3.5c+c*c。
12、由于c*c是一个很小的数,所以可以将它忽略掉。
13、于是3=3.0625+3.5c,c=-0.01785714
……
14、于是

=-1.732142……=1.732。
(取3位小数)
15、而我们知道

实际等于1.73205080756888……,这样两者就很接近了。
每操作一步,小数点可精确一位。
好了,今天的分享就到这里了。
欢迎大家同步关注我的同名微信公众号:科学发现之历程。
后续我将带着大家学习有趣的数学。
-
- 炸的多音字组词(小学多音字组词练习)
-
2023-12-20 18:00:49
-
- 3岁宝宝喝几段奶粉(宝宝奶粉为什么要分段?)
-
2023-12-20 17:58:44
-
- 福建农林大学招生办(福建农林大学2023年普通高考招生章程)
-
2023-12-20 17:56:39
-
- 八月英文缩写(英语常见的英文缩写词)
-
2023-12-20 17:54:34
-
- 万科收归国有(如何判断一家公司是不是国企?)
-
2023-12-20 17:52:29
-
- 邱淑贞电影 香港电影尺度真大
-
2023-12-20 17:50:24
-
- 吴承恩是哪个朝代(吴承恩怎么死的?吴承恩墓被盗过几次?)
-
2023-12-20 09:08:27
-
- 发达国家标准人均gdp(发达国家标准人均gdp排名)
-
2023-12-20 04:10:15
-
- 比较自由的工作有哪些(比较自由的工作有哪些岗位)
-
2023-12-20 04:08:10
-
- 韩红身体怎么了最新消息2021(韩红身体怎么了最新消息图片)
-
2023-12-20 04:06:05
-
- 青色标准色卡(青色标准色RGB)
-
2023-12-20 04:04:00
-
- policeman怎么读(Policeman怎么读英语语音)
-
2023-12-20 04:01:55
-
- 空调外机尺寸(空调外机尺寸规格表)
-
2023-12-20 03:59:50
-
- 唐心忠个人简介(唐心忠 父亲)
-
2023-12-20 03:57:45
-
- filco蓝牙键盘配对流程(filco蓝牙键盘配对流程 win10)
-
2023-12-20 03:55:40
-
- 车渠的功效与作用佩戴禁忌(车渠石图片)
-
2023-12-20 03:53:35
-
- 伯伯的老婆应该叫什么称呼(伯伯的老婆应该叫什么称呼陕西)
-
2023-12-20 03:51:30
-
- 蓝莓什么季节成熟?蓝莓什么季节成熟上市
-
2023-12-19 04:14:55
-
- 朱砂痣是什么意思形容人 朱砂痣是什么意思图片
-
2023-12-19 04:12:50
-
- 鳕鱼的做法有哪些?鳕鱼如何做好吃?
-
2023-12-19 04:10:45



青色标准色卡(青色标准色RGB)
地铁线路图昆明5号线(5号线来了快上车)