棱台体积公式推导过程(棱台的体积和圆台的侧面积)
棱台体积公式推导过程(棱台的体积和圆台的侧面积)
圆锥体被平面切割成两部分。 圆锥体的上半部分形状不变,仍然是圆锥,但下半部分构成棱台。 为了得到正圆锥体的这一部分,我们必须水平切割与底部平行。 两个物体都有不同的体积。 在这里学习棱台和圆台的体积及圆台的侧面积。

当一个实体(一般圆锥或金字塔)被平行底面的平面截取时, 去掉上面的锥体部分,余下的部分就是棱台。
为了正确地想象圆锥体,设想一个完全装满了冰淇淋的蛋筒。当按图中所示的方式切割锥体时,在基底与平行平面之间留下的截面就是锥体的截锥体-棱台。

圆台的体积
让我们在这里学习如何利用所给的图求圆锥的截锥体积。 这个公式也可以帮助求出锥体形状的金字塔截锥体的体积,包括圆台和棱台。

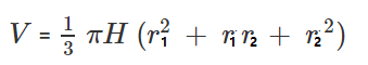
我们根据上图推导圆台的体积:
我们知道圆台的体积是大圆锥体减去小圆锥体,因此有,

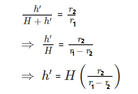
其中h=H+h’, 现在需要求出 h’, 根据相似的三角形,很容易解出:

将h’ 和h=H-h’带入上面的体积等式做差,就可以得出圆台的体积公式:

对于广义的棱台它的体积公式:
如果棱台的高为H,上下底面积分别是S1和S2,


因此圆台体积是棱台体积的特殊形式。
圆台的侧面积的计算

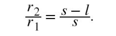
根据上图,小圆锥体和大圆锥体的横截面是相似的三角形,我们可以看到 :

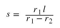
解s, 得出:

由此可以得出圆台的侧面积公式:

例题
圆锥体被水平的平面切割。 截锥体圆顶半径10m,圆底半径3m。 截锥体高度为24米。 如果圆台高度为24m,则求圆台的侧表面积。

解:
半径为r1 = 10m, r2 = 3m
高度,H = 24m
首先,我们需要找到截锥体的母线长l,通过公式:
L =√[

+

]
=√(49 + 576)
=√625
= 25米
圆台的侧面= π(r1 + r2)l
LSA =π(10 + 3)25
= 325π平方米。
-
- 辣椒炒肉是湖南特色吗?怎么做才正宗?
-
2024-01-08 19:08:39
-
- 大闸蟹开水蒸还是冷水蒸多久?大厨这样说
-
2024-01-08 19:06:34
-
- win10开机原来10秒突然变慢(win10系统开机速度慢的解决办法)
-
2024-01-08 19:04:29
-
- 养君子兰浇水技巧,解决浇水难题,叶肥根又壮
-
2024-01-08 19:02:25
-
- 学化妆的正规学校推荐 学彩妆去哪里好?这三家化妆学校强烈推荐
-
2024-01-08 19:00:20
-
- 手机如何贴膜 iPhone、安卓手机贴膜教程详细实用附注意事项
-
2024-01-08 18:58:15
-
- 红色英语怎么读?
-
2024-01-08 18:56:10
-
- 彩钢板价格是多少(彩钢板的价格多少钱一平?彩钢板施工方面有哪些要求?)
-
2024-01-08 10:27:03
-
- 消化不良的症状表现有哪些(消化不良的7大症状,快看看你中了几个)
-
2024-01-08 10:24:58
-
- 对老公心寒绝望的句子( 对婚姻生活失望的文案)
-
2024-01-08 10:22:54
-
- 掉牙齿是什么预兆和原因(牙齿脱落之前很早就暗示过你,你不知道吗?)
-
2024-01-08 10:20:49
-
- ecossees1spirit(全世界最昂贵的摩托车)
-
2024-01-08 10:18:44
-
- 紫癜是什么病能彻底治好吗(什么是过敏性紫癜,过敏性紫癜如何治疗?)
-
2024-01-08 10:16:39
-
- 钟表是十几世纪传入中国的吗 ,为何说它是敲门砖
-
2024-01-08 10:14:34
-
- 指甲上的月牙代表什么你知道吗(指甲上的“小月牙”,与健康有关吗,什么情况
-
2024-01-08 10:12:29
-
- 怎么开启手机NFC功能 ,你是否用对了呢?
-
2024-01-08 10:10:24
-
- 圆管重量计算公式简便方法(各种钢材重量计算公式,收藏了!)
-
2024-01-08 10:08:19
-
- 五分钟懒人蛋糕做法用烤箱(五分钟懒人蛋糕做法用烤箱,不用打蛋白,面糊调好
-
2024-01-08 07:58:39
-
- 卫生间用什么瓷砖好些(卫生间用什么瓷砖好,有什么选购技巧)
-
2024-01-08 07:56:34
-
- 世界十大名犬(全球10大最著名的狗狗排行榜)
-
2024-01-08 07:54:29



青色标准色卡(青色标准色RGB)
地铁线路图昆明5号线(5号线来了快上车)