内部收益率公式怎么算的(内部收益率IRR,运用场景)
内部收益率公式怎么算的(内部收益率IRR,运用场景)
当下,我们的投资方式多种多样,但是不管什么样的投资,我们在考虑投资收益的时候都与本金,时间,收益,收益率这4个因素有关。不管你在做什么投资,收益率一定是你考虑的重要因素,那么,你会算你的收益率吗?
一、不同投资怎么比
我们在选择一项投资的时候会考虑很多因素,比如安全性,稳定性,流动性,收益性等等,每一项投资这些属性也不尽相同。在其他因素大体相似的情况下,收益率就成为了选择一款产品的唯一指标。
比如,同样是存一笔三年期的定期,甲银行的利率是4.125%,乙银行的利率是3.85%,你会怎么选?在不考虑我跟乙银行的行长是亲戚,乙银行能给我更多的礼品等情况,我一定会存在甲银行,因为甲银行能给我更多的利息。当我们把所有的投资模式都简化到一个标准模型时,利率就是我选择的唯一标准。
二、利率计算举例
哪个利率高就买哪个,但是你如何计算利率?我举个年金险例子:
每年交5万,总共交3年,
第5年返还3万
第6年返还3万
第7年返还3万
第8年领取满期金7.5万
这款产品收益是多少你会算不?常规的用收益除以本金再除以时间的方式,是无法计算这种年金险的。这种复杂的含返还型的年金险,唯一计算收益的方法就是:内部收益率(简称IRR)。
三、IRR计算原理
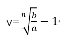
不同的投资本金的投入方式不同,时间长度不同,最后的收益领取方式也不同,为了便于对比,我们现在统一简化成本金(a)一次性投入,存放的时间(n),到时间了一次性把本息和(b)全部取出来,那本金,时间,本息与每年利率(v)我们就可以用如下公式体现内部收益率:

可以得出如下IRR公式:

当本金(a),时间(n),本息和(b)与每年利率(v)成正比,说白了,只要每年IRR越大你就能拿越多的钱。
这就是最简单的内部收益率的IRR推导公式,当我们把所有投资方式都简化为投入→时间→收益的模型时,内部收益率IRR的大小能最直观对比收益的高低。
当然,不同的投资模式在投入本金的时候会一次性投入,也会分批投入,在获取收益的时候也会有一次性取出和分批次取出,为了方便计算IRR,Excel里面直接给出了IRR的函数,具体操作方法参考《手把手教你计算内部收益率:IRR计算方法》。
写在最后
记住一个理论,但凡是带有返还功能的理财产品,计算其真实收益的唯一标准,就是内部收益率IRR。再延伸一下:1、如果你要比较两款增额终身寿险的谁收益更高,这种不带返还型的产品就没必要计算内部收益率了,直接看未来各年限的现金价值谁高就可以了。2、如果增额终身寿与年金险对比,还是要计算两款产品的IRR,谁的IRR高买谁就没错。
-
- 胶囊类药物可以把胶囊拆开吃吗 切忌把这三类胶囊剥开吃
-
2024-01-03 00:00:39
-
- 红烧带鱼的正确方法,牢记这几点,鱼肉鲜嫩入味又下饭,太香了
-
2024-01-02 23:58:35
-
- 草酸 这4种容易吃出结石的蔬菜,草酸含量一个比一个高,很多人不知道
-
2024-01-02 23:56:31
-
- 4月出游好去处(4月最佳旅行地出炉!清明小长假挑一处去拥抱春光)
-
2024-01-02 23:54:26
-
- 中国四大古镇旅值得一去的旅游胜地
-
2024-01-02 23:52:21
-
- 怎么训练自己的说话能力?
-
2024-01-02 23:50:15
-
- 早泄能治吗 别慌,要有信心,可从这4个方面入手
-
2024-01-02 23:48:11
-
- 杀老鼠的最好办法(家里出现老鼠,有哪些好办法能够消灭它们?)
-
2024-01-02 23:46:05
-
- 海伦凯勒的作品有哪些(海伦凯勒:假如给我三天光明,我会用来照亮世界)
-
2024-01-02 20:52:12
-
- 翡翠和玉的区别在哪里 翡翠和玉到底有什么不同?
-
2024-01-02 20:50:07
-
- 杜鹃花叶子枯萎怎么救(杜鹃花叶子全枯了,千万别扔,换个盆还有救)
-
2024-01-02 20:48:02
-
- 怎么发面做馒头?别只加酵母粉,教你一招,30分钟就发好
-
2024-01-02 20:45:57
-
- 西兰花的功效与作用(好吃且营养价值超高)
-
2024-01-02 20:43:52
-
- 食物中毒怎么办如何处理(【健康小贴士】 食物中毒怎么办 谨记4个原则)
-
2024-01-02 20:41:47
-
- 生姜种植方法 掌握好的方法与技术,生姜种植并不难
-
2024-01-02 20:39:43
-
- 皮鞋怎么搭配女生(女士皮鞋穿搭技巧分享,点亮初春穿搭小心思)
-
2024-01-02 20:37:38
-
- 机箱噪音很大怎么办(电脑机箱噪音大怎么处理?)
-
2024-01-02 20:35:33
-
- 缓解胃不舒服5个小妙招,请收好
-
2024-01-02 20:33:28
-
- 人为什么会打嗝 打嗝不是小事,可能预示着疾病,5招简单止嗝
-
2024-01-02 10:14:16
-
- 缅甸翡翠为什么便宜原因是什么(在缅甸买翡翠,真的比国内的便宜吗,有些真相
-
2024-01-02 10:12:11



青色标准色卡(青色标准色RGB)
地铁线路图昆明5号线(5号线来了快上车)